ÁLGEBRA UNAC EJERCICIOS RESUELTOS ADMISIÓN CALLAO UNIVERSIDAD
PREGUNTA 1 :
La edad de Juan es representada por
¿qué edad tendrá Juan dentro de 10 años?
A) 14
B) 19
C) 18
D) 20
E) 16
RESOLUCIÓN :
Rpta. : "E"
PREGUNTA 2 :
Al factorizar el polinomio
p(x) = (x + 4)(x + 2)(x³ – 5) – x² – 4x – 2(x + 3)(x + 4)
el término independiente del factor primo cuadrático de p(x) es
A) –3.
B) 6.
C) 5.
D) 4.
E) –2.
RESOLUCIÓN :
Rpta. : "C"
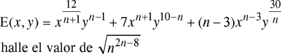
PREGUNTA 3 :
Dada la expresión algebraica racional entera de tres términos
A) 8
B) 30
C) 5
D) 16
E) 25
RESOLUCIÓN :
Rpta. : "C"
PREGUNTA 4 :
Al dividir P(x) = 3x⁷ – 27x⁵ + 2x² – 1
por d(x) = (x + 1)(x – 3) se obtiene un residuo r(x) = ax + b, tal que (a + b) representa la edad de Rubén hace 10 años.
¿Cuál será la edad de Rubén dentro de 10 años?
A) 41
B) 38
C) 31
D) 21
E) 45
RESOLUCIÓN :
Rpta. : "A"
PREGUNTA 5 :
Si P(x)=x⁶ + x⁵ – 4x⁴ – 8x³ + 23x² + (a+b)x – 5a–b+1 es divisible por d(x) = x³ – 2x²+3
Halle (a – 2b)⁵
A) 23
B) 32
C) 18
D) 0
E) 12
RESOLUCIÓN :
Rpta. : "D"
PREGUNTA 6 :
Por el aniversario de la UVC se realiza un evento, donde se reparte
4x³ + (5 – 8b)x² + (4 – 10b)x – 21 camisas
a los docentes asistentes, sobrando 3 camisas.
Si la cantidad de camisas a repartir fuese
4x³ – 12bx² + 25bx – 10 entre la misma cantidad de asistentes d(x) = x – 2b, ¿cuántas camisas sobrarían?
A) 7
B) 4
C) 12
D) 8
E) 9
RESOLUCIÓN :
Rpta. : "D"
PREGUNTA 7 :
Las dimensiones de un terreno rectangular son
A) 4 m²
B) 6 m²
C) 10 m²
D) 9 m²
E) 8 m²
RESOLUCIÓN :
Rpta. : "E"
PREGUNTA 8 :
¿Para qué valor del parámetro entero m, el polinomio (en variables: x, y , z)
[(x² − y² + z² )(x² + y² − z² ) + mx²yz ] será divisible por (x+y+z)?
A) –4
B) 1
C) 4
D) –1
E) –2
RESOLUCIÓN :
Rpta. : "A"
PREGUNTA 10 :
Si la suma de las soluciones enteras y positivas de la inecuación
donde –1 < a < 0 representa la décima parte de lo que cuesta el valor de la entrada al encuentro entre Perú y Colombia por un cupo al mundial Rusia 2018.
¿Cuál es el costo de la entrada al estadio nacional?
A) S/ 850
B) S/ 350
C) S/ 180
D) S/ 210
E) S/ 120
RESOLUCIÓN :
Rpta. : "C"
PREGUNTA 11 :
¿Para qué valor del parámetro real m, el número complejo
resultará un imaginario puro?
A) 4
B) –1
C) –4
D) 1
E) 0
RESOLUCIÓN :
Rpta. : "B"
PREGUNTA 12 :
El Im(i⁸¹Z) representa el precio de un cuarto de limón. Siendo
¿Cuánto cuesta el kilogramo de limón?
A) S/ 10
B) S/ 8
C) S/ 3
D) S/ 4,5
E) S/ 4,2
RESOLUCIÓN :
Rpta. : "C"
PREGUNTA 13 :
Dada la función real f que
halle la suma de los valores enteros de k que satisfacen (|k – 2| – 3) ∈ Ran(f).
A) 18
B) 22
C) 28
D) 24
E) 20
RESOLUCIÓN :
Rpta. : "C"
PREGUNTA 14 :
La edad del profesor Moisés está dada por la posición del término independiente del binomio
¿cuántos años le falta para que lo jubilen de acuerdo a la Ley Universitaria, si la jubilación es a los 75 años?
A) 7 años
B) 14 años
C) 12 años
D) 10 años
E) 8 años
RESOLUCIÓN :
Rpta. : "B"
PREGUNTA 15 :
Si
es exacta, además 5a y –3b representan las notas de dos alumnos en el examen parcial de Matemática Básica, ¿cuál fue la nota más alta entre los dos alumnos?
A) 16
B) 14
C) 10
D) 5
E) 12
RESOLUCIÓN :
Rpta. : "C"
PREGUNTA 16 :
RESOLUCIÓN :
Rpta. : "D"
PREGUNTA 17 :
Halle el máximo valor de la función objetivo f(x;y)=5x+4y sujeto a las siguientes restricciones:
A) 30
B) 20
C) 21
D) 18
E) 24
RESOLUCIÓN :
Rpta. : "C"































