ÁLGEBRA PRE SAN MARCOS SEMANA 16 SOLUCIONARIO PROBLEMAS RESUELTOS PDF
LOGARITMOS.
☛ Identidades fundamentales y propiedades.
☛ Ecuaciones e inecuaciones logarítmicas.
☛ Ecuaciones e inecuaciones exponenciales.
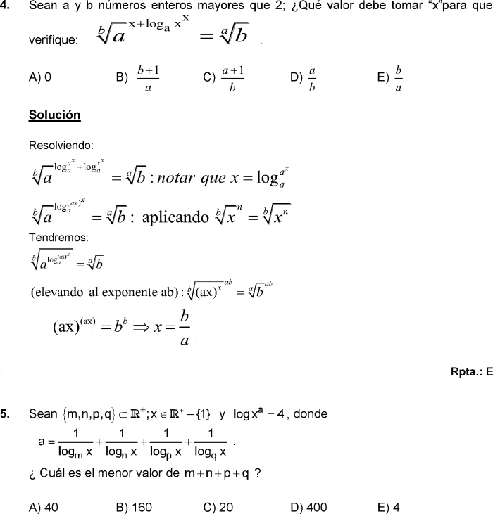
PREGUNTA 1 :
La intensidad M de un terremoto (en la escala de Richter), se relaciona con la energía E (en ergios) liberada durante el mismo, mediante la fórmula: logE =11,4 +1,5M. El terremoto de mayor intensidad en la historia del Perú se registró en 1970 en la localidad de Yungay (Áncash). Sin embargo, el terremoto de mayor intensidad registrado en la historia mundial ocurrió diez años antes, en la localidad de Valdivia (Chile); dicho movimiento telúrico tuvo 2 grados más de intensidad que el acontecido en Yungay.¿Cuántas veces más tuvo el sismo de Chile la energía del ocurrido en Yungay?
A) 1000 veces
B) 9999 veces
C) 999 veces
D) 10000 veces
Rpta. : "C"









































