QUÍMICA UNAC EJERCICIOS RESUELTOS ADMISIÓN CALLAO UNIVERSIDAD
PREGUNTA 1 :
Las especies
tienen ___ , ___ y ___ electrones, respectivamente.
A) 26 ; 20 y 16
B) 23 ; 18 y 18
C) 18 ; 20 y 23
D) 18 ; 18 y 23
E) 23 ; 20 y 18
RESOLUCIÓN :
Rpta. : "B"
PREGUNTA 2 :
Es imposible conocer con exactitud la posición y la velocidad de un electrón simultáneamente, corresponde al principio de ________.
A) exclusión de Pauli
B) incertidumbre de Heisemberg
C) incertidumbre de Pauli
D) exclusión de Hund
E) máxima multiplicidad de Hund
RESOLUCIÓN :
TEORÍA ATÓMICA MODERNA
Werner Heisemberg en 1926, propone el principio donde indica que es imposible conocer con exactitud la posición y la velocidad de un electrón simultáneamente, solo es posible conocer probables valores para estos parámetros.
El principio se expresa Δx · Δmv≥ h.4−¹𝛑−¹
Donde:
Δx: incertidumbre de posición
Δmv: incertidumbre de cantidad de movimiento
m: masa del electrón
v: velocidad del electrón
h: constante de Planck
Rpta. : "B"
PREGUNTA 4 :
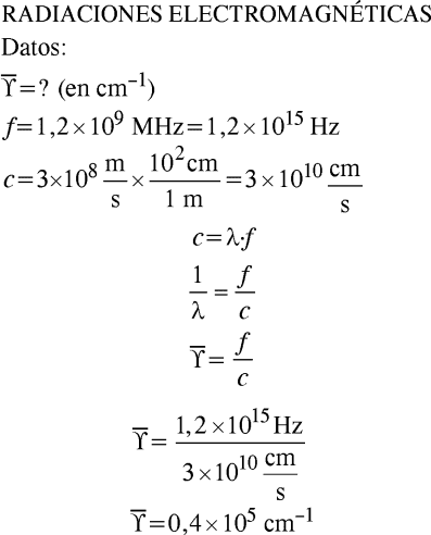
Calcule el número de onda en cm–1 de una radiación emitida por una lámpara de mercurio, si la frecuencia de la radiación es 1,2×109 MHz.
Dato: c=3×10⁸ m/s
A) 0,3×104
B) 0,4×104
C) 0,3×105
D) 0,5×105
E) 0,4×105
RESOLUCIÓN :
Rpta. : "E"
PREGUNTA 5 :
Indique la secuencia correcta después de determinar si la proposición es verdadera (V) o falsa (F).
I. La valencia es igual al estado de oxidación.
II. El estado de oxidación del Mn en el KMnO4 es +7.
III. La valencia del S en el H2SO4 es 4.
A) VFV
B) FFV
C) FVF
D) FVV
E) VFF
RESOLUCIÓN :
Rpta. : "C"
PREGUNTA 6 :
Se tienen las sustancias siguientes:
• Un vaso de agua mineral gasificada.
• Un vaso de agua potable.
• Un vaso de limonada mezclada con harina.
• Unos gramos de detergente caracterizado por sus puntos azules.
¿Cuántas mezclas homogéneas y heterogéneas hay?
A) 2 y 2
B) 1 y 3
C) 4 y 0
D) 0 y 4
E) 3 y 1
RESOLUCIÓN :
MEZCLAS
Las mezclas resultan al reunir dos o más sustancias en cualquier proporción, de tal forma que estas mantienen latentes muchas de sus propiedades y se pueden separar posteriormente con métodos físicos.
Mientras que las mezclas homogéneas tienen una sola fase (soluciones), las mezclas heterogéneas tienen más de una fase.
Son mezclas homogéneas:
▻ Un vaso de agua mineral gasificada
▻ Un vaso de agua potable
Son mezclas heterogéneas:
▻ Un vaso de limonada mezclada con harina
▻ Unos gramos de detergente caracterizado por sus puntos azules.
Rpta. : "A"
PREGUNTA 7 :
Halle el volumen que ocupa 132g de CO2 medidos a 8°C bajo cero y 795 torr de presión. Exprese el resultado en libros.
Datos: PV=nRT ; R=62,4 mm.HG.L.mol–1k–1
A) 70,1
B) 68,3
C) 60,2
D) 64,2
E) 62,4
RESOLUCIÓN :
Rpta. : "E"
PREGUNTA 8 :
El azufre se obtiene a nivel industrial a partir del sulfuro de hidrógeno (H2S) mediante la reacción
H2S(g)+SO2(g) → S(s)+H2O(g)
Después de balancear, indique verdadero (V) o falso (F) respecto a los enunciados:
I. El coeficiente del agente oxidante es 1.
II. La suma de coeficientes de la reacción es 8.
III. Se han transferido 4 moles de electrones por cada mol de SO2
A) FVV
B) FVF
C) VFF
D) VFV
E) VVV
RESOLUCIÓN :
Rpta. : "E"
PREGUNTA 9 :
Cuando se calienta a 250°C una muestra de 12,06 g de un compuesto orgánico que contiene S, H, O, se produce 17,67 g de CO2 y 7,24 g de H2O. Determine la fórmula empírica.
Datos: H: 1 uma ; C: 12 uma ; O: 16 uma
A) C2H2O
B) CH2O
C) CHO2
D) CHO
E) C2HO
RESOLUCIÓN :
Rpta. : "B"
PREGUNTA 11 :
Determine el número de hidrógenos primarios que hay en el hidrocarburo saturado n-icosano (C20H42).
A) 2
B) 5
C) 6
D) 4
E) 3
RESOLUCIÓN :
Rpta. : "C"
PREGUNTA 12 :
De los siguientes radicales alquilo, indique quién o quiénes tienen el nombre correcto.
A) I y II
B) Solo III
C) I, II y III
D) I y III
E) Solo I
RESOLUCIÓN :
Rpta. : "E"
PREGUNTA 13 :
Los ácidos carboxílicos son ácidos débiles, la mayoría de ellos son sintetizados en forma natural por los organismos vivos. Indique la especie química a la cual se hace referencia.
RESOLUCIÓN :
Rpta. : "B"


















