IDENTIDADES TRIGONOMÉTRICAS DEL ARCO TRIPLE EJERCICIOS RESUELTOS
OBJETIVOS
Al finalizar la unidad, el alumno será capaz de :
• Conocer las identidades básicas del arco triple y reconocer las formas alternativas de cada una.
• Conocer técnicas empleadas en la comprobación de las diversas identidades de un ángulo triple.
*
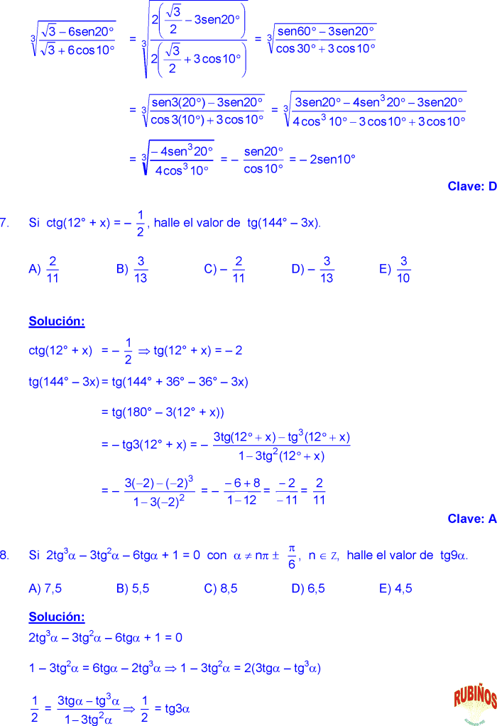
1. Si tgx = –2 2 , además x ∈IIC, calcule cos3x. 2. Simplifique: E 3 sen3 3sen cos3 3cos x x x x = − + A) cosx B) –ctgx C) ctgx D) –tgx E) tgx 3. Calcule el valor de: M = sen25º(2cos50º + 1) A) 2 2 B) 3 2 C) 12 D) 6 2 4 − E) 6 2 4 + 4. Calcule: 3 3 K 3sen20 4sen 20 4cos 15 3cos15 E) 6 NIVEL I 5. Si tg2q = 2, además 180º 1. Si sena = 5 3 , además 90º < q < 180º, calcule cos3a. A) 22 27 B) – 23 27 C) –1 D) – 22 27 E) 23 27 2. Reduzca: 3 3 G sen3 sen cos cos3 A) tgq B) ctgq C) –tgq D) –ctgq E) –1 3. Si 3senf – 2 = 0, calcule sen3f. A) 2 B) –2 C) 7 27 D) – 7 27 E) 22 27
Cotangente, secante y cosecante del arco triple Tomaremos las identidades recíprocas aplicadas el arco triple, es decir: Como: Tan3x • Cot3x = 1 ⇒ Cot3x = Tan3x 1 Como: Cos3x • Sec3x = 1 ⇒ Sec3x = Cos3x 1 Como: Sen3x • Csc3x = 1 ⇒ Csc3x = Sen3x 1 Problema aplicativo Siendo: Csc3x Sec3x = 0,444... ; calcular el valor de “Cot3x”. Resolución Sabemos: Csc3x Sec3x = 0,4 → Sen3x 1 Cos3x 1 = 9 4 → Cos3 x Sen3 x = 3 2 → Tan3x = 3 2 Finalmente: Cot3x = Tan3x 1 → Cot3x = 3 2 1 = 2 3 Resumen de fórmulas Básicas: Degradan “cubos”: * Sen3x = 3Senx – 4Sen3x → 4Sen3x = 3Senx – Sen3x * Cos3x = 4Cos3x – 3Cosx → 4Cos3x = 3Cosx + Cos3x * Tan3x = 1 3Tan x 3Tanx Tan x 2 3 − − Observaciones: * Cot3x = Tan3x 1 * Sec3x = Cos3x 1 * Csc3x = Sen3x 1 Especiales: Sen3x = Senx(2Cos2x + 1) Cos3x = Cosx(2Cos2x – 1) ⇒ Tan3x = Tanx 2Cos2x 1 2Cos2x 1 4Senx • Sen(60º – x) • Sen(60º + x) = Sen3x 4Cosx • Cos(60º – x) • Cos(60º + x) = Cos3x Tanx • Tan(60º – x) • Tan(60º + x) = Tan3x Notas Sen18º = 4 5 − 1 Cos36º = 4 5 + 1 Csc18º = 5 + 1 Sec36º = 5 − 1















































