FÍSICA PROBLEMAS RESUELTOS DE EXAMEN ADMISIÓN UNIVERSIDAD ÁREAS C E DECO SAN MARCOS
PREGUNTA 1 :
El pistón de un dispositivo eléctrico oscila con un movimiento armónico simple de modo que su posición varía de acuerdo con la ley x(t) = (√2cm)cos(ωt+π/4), donde x está dado en centímetros y t en segundos. Si la velocidad media del pistón para un intervalo de tiempo varia entre t = 0,0 s y t = 1,0 s es –1,0 cm/s, determine el valor de la frecuencia angular de la oscilación.
A) (π/2) rad/s
B) (π/4) rad/s
C) (3π/4) rad/s
D) (3π/2) rad/s
RESOLUCIÓN :
Rpta. : "B"
PREGUNTA 2 :
La temperatura de tres líquidos diferentes, A, B y C, de masas iguales, es 12, 18 y 28 °C respectivamente. Cuando A y B sean mezclados, la temperatura final de equilibrio es 16 °C. Cuando B y C sean mezclados, la temperatura de equilibrio es 23 °C. ¿Cuál será la temperatura de equilibrio cuando A y C sean mezclados?
A) 20,0 °C
B) 22,7 °C
C) 17,3 °C
D) 25,4 °C
RESOLUCIÓN :
Rpta. : "B"
PREGUNTA 3 :
El corazón humano bombea, según la Fundación Española del Corazón, 5 litros de sangre por minuto. Según el Texas Heart Institute, si el corazón fuese una fuente, su potencia haría que la sangre alcance los 10 metros de altura. A partir de estos datos, estime la potencia del corazón humano.
Datos: g = 10 m/s²; ρsangre = 1,05 g/cm³
A) 17,5 W
B) 12,5 W
C) 8,75 W
D) 4,38 W
RESOLUCIÓN :
Rpta. : "C"
PREGUNTA 4 :
Una moneda pesada cae al fondo de un recipiente, el cual contiene dos líquidos A y B no miscibles (ρA = 800 kg/m³ ; ρB = 1200 kg/m³ ), como muestra el gráfico. Si se conoce que la presión atmosférica local es de 100 kPa, determine lo siguiente: la presión absoluta que la moneda experimentará y la altura que el líquido B debería tener para que la moneda experimente la misma presión en ausencia del líquido A.
Dato: g = 10 m/s²
A) 106,4 kPa y 4/30 m
B) 6,4 kPa y 8/15 m
C) 6,4 kPa y 4/30 m
D) 106,4 kPa y 8/15 m
RESOLUCIÓN :
Rpta. : "D"
PREGUNTA 5 :
Durante una clase de laboratorio, dos alumnos conectan dos condensadores 6 μF cada uno, en serie, y los cargan a una diferencia de potencial de 12 V. Al releer el manual, se dan cuenta de que debieron conectar los condensadores en paralelo, pero, para no desconectar todo, deciden cambiar la diferencia de potencial para llegar a almacenar la misma energía que con el montaje original. ¿Cuál debería ser dicha diferencia de potencial?
A) 24 V
B) 6 V
C) 26 V
D) 48 V
RESOLUCIÓN :
Rpta. : "A"
PREGUNTA 6 :
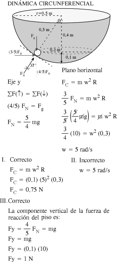
Una partícula de 100 g de masa se mueve sobre la parte interior de una superficie semiesférica lisa de radio r, como muestra la figura. La trayectoria de la partícula es una circunferencia que está en un plano horizontal cuya distancia al punto más bajo de la superficie es 0,1 m. Si la partícula gira con rapidez constante, identifique la afirmación o afirmaciones correctas.
Dato: g = 10 m/s²
I. La fuerza centrípeta sobre la partícula es 0,75 N.
II. La velocidad angular de la partícula es 3,0 rad/s.
III. La componente vertical de la fuerza de reacción del piso es 1,0 N.
A) II y III
B) Solo I
C) I y III
D) I y II
RESOLUCIÓN :
Rpta. : "C"
PREGUNTA 7 :
De acuerdo con el principio de incertidumbre, es imposible medir, simultáneamente, la posición y la cantidad de movimiento de una partícula con precisión. En este contexto, si una bala de masa m = 0,02 kg, velocidad de magnitud 500 m/s, medida con una precisión dentro de 0,010%, ¿en qué límites es posible determinar la posición de la bala con los datos?
Dato: h/2𝛑 = h = 1,00 × 10−³⁴ J · s
A) 5,00 × 10−³¹ m
B) 5,00 × 10−³² m
C) 1,00 × 10−³¹ m
D) 5,00 × 10−³³ m
RESOLUCIÓN :
Rpta. : "B"

.png)
.png)
.png)

.png)
.png)

.png)
.png)






















