ARITMÉTICA EXAMEN ADMISIÓN UNIVERSIDAD CALLAO DESARROLLADO SIMULACRO UNAC DE INGRESO 2024 PDF
PREGUNTA 1 :
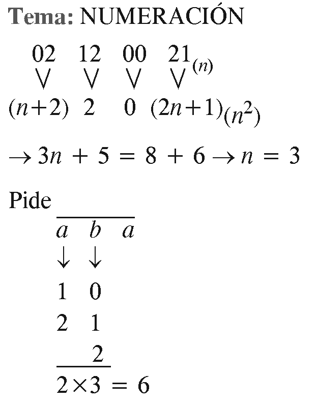
Si el numeral 12020021(n) se expresa en base (n²), la suma de sus cifras aumenta en 6 unidades. Calcule cuántos números capicúas de tres cifras existen en base n.
A) 4
B) 14
C) 8
D) 12
E) 6
RESOLUCIÓN :
PREGUNTA 2 :
Si N=1024102410040 , determine el resto por defecto al dividir N entre 7.
A) 1
B) 2
C) 3
D) 4
E) 5
RESOLUCIÓN :
PREGUNTA 3 :
Se formó una empresa con tres máquinas tejedoras, la máquina de Lucho es el doble de rápida que la de Carlos y la máquina de Carlos es el triple de rápida que la de Marcos. La empresa confecciona mil chompas de la talla S en 24 días; después de un tiempo la máquina de Lucho es dada de baja por la empresa. ¿En cuántos días las máquinas restantes confeccionarían 1000 chompas de talla S?
A) 60
B) 56
C) 64
D) 48
E) 36
RESOLUCIÓN :
PREGUNTA 4 :
Sean a, b, c, d, k∈ℤ+ tales que:
a ÷ b = b ÷ c = c ÷ d = k ,
a+b+c = 273
Determine la suma de las cifras del valor numérico de b+c+d
A) 15
B) 9
C) 12
D) 13
E) 10
RESOLUCIÓN :
PREGUNTA 5 :
Martha le dice a Rocío: "Tengo M años de edad, donde M es inversamente proporcional a L3, además cuando M aumenta en 2480 unidades, L varía en un 80%". Si Rocío tiene cinco años más que Martha, ¿cuántos años tiene Rocío?
A) 35
B) 25
C) 30
D) 15
E) 20
RESOLUCIÓN :
PREGUNTA 6 :
Calcule la media, mediana y moda de las edades de 20 jóvenes:
12 ; 13 ; 14 ; 11 ; 12 ; 11 ; 14 ; 12 ; 14 ; 12 11 ; 14 ; 11 ; 11 ; 12 ; 14 ; 14 ; 12 ; 13 ; 14
A) 13; 12 y 14
B) 12,55; 12 y 14
C) 13; 12 y 15
D) 12,56; 12 y 14
E) 12,54; 12 y 14
RESOLUCIÓN :
PREGUNTA 7 :
Las notas obtenidas en un examen de diez estudiantes son:
12 ; 14 ; 14 , 11 ; 15 ; 13 ; 14 ; 12 ; 14 ; 13
Halle la varianza de dichas notas.
A) 1,54
B) 1,63
C) 1,25
D) 1,30
E) 1,36
RESOLUCIÓN :
PREGUNTA 8 :
De tres muestras, la primera con media 30 y desviación típica 4, la segunda de media 50 y desviación típica 5 y la tercera con media 70 y desviación típica 8. ¿Cuál es la que aparece más dispersa?
A) Las tres son iguales
B) Dos y tres son iguales
C) La primera
D) La segunda
E) La tercera
RESOLUCIÓN :
PREGUNTA 9 :
De los residentes de un barrio chalaco, se sabe que:
• 29 trabajan y 56 son mujeres
• De las mujeres, 15 estudian, 5 estudian y trabajan.
• De los varones, 30 trabajan o estudian y 21 no trabajan ni estudian.
Si 36 varones no trabajan, halle el número de mujeres que no trabajan ni estudian.
A) 31
B) 33
C) 30
D) 32
E) 29
RESOLUCIÓN :
PREGUNTA 10 :
Once obreros labran un campo rectangular de 220 metros de largo y 48 metros de ancho en 6 días. ¿Cuántos obreros serán necesarias para labrar otro campo análogo de 300 metros de largo por 56 metros de ancho, en cinco días?
A) 25
B) 24
C) 21
D) 22
E) 23
RESOLUCIÓN :
PREGUNTA 11 :
Determine la suma de cifras del menor número entero positivo, que al ser dividido entre 8, 25 y 49 se tiene como residuo 4, 15 y 42 respectivamente.
A) 14
B) 9
C) 12
D) 18
E) 5
RESOLUCIÓN :
PREGUNTA 12 :
Determine una fracción equivalente a 187/408 tal que la suma de sus términos sea divisible por 75 y además esté comprendido entre 1800 y 2500.
A) 660/1440
B) 560/1440
C) 650/1340
D) 660/1450
E) 650/1540
RESOLUCIÓN :
PREGUNTA 13 :
Pedro negocia con el banco un pagaré de $ 6300 logrando un descuento del 2% trimestral; en ese momento paga $ 6090 y cancela su deuda. ¿Dentro de cuántos meses se vencía el pagaré de Pedro?
A) 4
B) 5
C) 8
D) 6
E) 7
RESOLUCIÓN :
PREGUNTA 14 :
Anita asiste a la biblioteca todos los días de la semana, 4 días por la mañana y el resto por la tarde. ¿De cuántas maneras diferentes puede acudir semanalmente a la biblioteca?
A) 84
B) 21
C) 112
D) 20
E) 35
RESOLUCIÓN :
PREGUNTA 15 :
La permanencia del gerente en una empresa está condicionada a su producción en el semestre. Esa producción es evaluada por la media aritmética de la ganancia mensual del semestre. Si la media fuera, por lo menos, de 30 mil soles, el gerente continúa en el cargo, en caso contrario él será despedido. El cuadro muestra la ganancia mensual en miles de soles de esa empresa de enero a mayo.
Enero Febrero Marzo Abril Mayo
21 35 21 30 38
¿Cuál debe ser la ganancia mínima de la empresa en el mes de junio, en miles de soles, para que el gerente continúe en su cargo el próximo semestre?
A) 31
B) 35
C) 29
D) 36
E) 30
RESOLUCIÓN :
PREGUNTA 16 :
Para 2 acciones comunes de empresas de la industria electrónica, el precio promedio de cierre en el mercado de valores durante un mes fue: Para la acción A, de $1200, con desviación estándar de $500. Para la acción B, el precio promedio fue de $5000, con desviación estándar de $300.
Determine la suma de los coeficientes de variación de ambas acciones.
A) 0,49
B) 0,44
C) 0,46
D) 0,45
E) 0,48
RESOLUCIÓN :
PREGUNTA 17 :
Dado el siguiente gráfico de sectores referente al presupuesto mensual de un trabajador.
Si gana mensualmente S/2600. ¿Cuánto gastó en educación y en otras actividades?
A) 720 y 240
B) 720 y 280
C) 760 y 280
D) 780 y 260
E) 780 y 280
RESOLUCIÓN :
- CLIC AQUÍ Ver EXAMEN ADMISIÓN ACTUAL
- Ver TEMARIO PARA ADMISIÓN
- Ver SIMULACRO DE ADMISIÓN UNAC
- Ver CARRERAS PROFESIONALES-CAMPO LABORAL
PREGUNTA 1 :
En una tienda de electrodomésticos se venden dos lavadoras al mismo precio. Si en una se gana el 12 % y en la otra se pierde el 12 %, halle la relación entre los costos de cada lavadora.
A) 11/14
B) 11/16
C) 11/15
D) 11/13
E) 11/12
PREGUNTA 2 :
Seis grifos idénticos tardan 10 horas en llenar un depósito de 400 m3 de capacidad. Cuatro de estos grifos, ¿en cuántas horas llenarán dos depósitos idénticos al anterior?
A) 31
B) 36
C) 30
D) 34
E) 32
PREGUNTA 3 :
Andrea tiene una cartulina de forma rectangular que mide 24 cm de ancho por 36 cm de largo y quiere cortar trozos cuadrados congruentes de manera que no sobre material. ¿Cuántos trozos obtendrá, si el lado de cada uno mide una cantidad entera; comprendidos entre 5 cm y 10 cm?
A) 10
B) 6
C) 18
D) 24
E) 12
PREGUNTA 4 :
Se tiene el conjunto A = {1; 2; 3; ...; 20} ¿Cuántos subconjuntos tiene A de tal manera que la suma de sus elementos sea 205?
A) 18
B) 6
C) 5
D) 4
E) 3
PREGUNTA 5 :
Tres jugadores A, B y C extraen (en ese orden) una carta con reposición de una baraja de 52 cartas. El primero que obtiene corazón gana. Calcule la probabilidad que gane A.
A) 9/74
B) 18/37
C) 16/37
D) 2/37
E) 8/37





